US Certificate of Incorporation Apostille in Australia

US Corporate Document Authentication

Apostille for US Certificate of Incorporation

US Certificate of Incorporation Apostillee is mandatory if you are trying to use your US issued Certificate of Incorporation in Australia. COI with apostille has lots of advantages in legal or official affairs in Australia and any other Hague Convention member country.

US Certificate of Incorporation Apostille
USDOS Verified
Hague Convention 120+ Countries
View Full
Get Certificate of Incorporation Apostille →
US Certificate of Incorporation Apostille
USDOS Verified
Hague Convention 120+ Countries
View Full

If you are planning to use your US Certificate of Incorporation in Australia, authenticating it with an apostille is mandatory. An apostille authenticates your certificate of incorporation for international use under the Hague convention. This article will explain in detail about the process, requirement and timeline of getting an apostille for a US certificate of incorporation in Australia. 

4 Easy steps to get US Apostille on the documents

  1. Register on Apostille Portal 
  2. Collect certificates that need US Apostille
  3. Deposit the photocopies / original certificates
  4. Receive Documents with Apostille directly at your doorstep

What is a US Apostille in Australia?

A US apostille in Australia involves getting an apostille stamp on your US issued documents while you are in Australia. An apostille is a certification issued for a document by designated authority in a country, as per the guidelines of Hague Apostille convention. It makes a public document issued in one country legally valid in another country. 

Since the US is a federal state, unlike other countries there are multiple apostille issuing authorities. The US department of state secretary will provide apostille for federal documents, and the respective state secretary provides apostille for state issued documents.

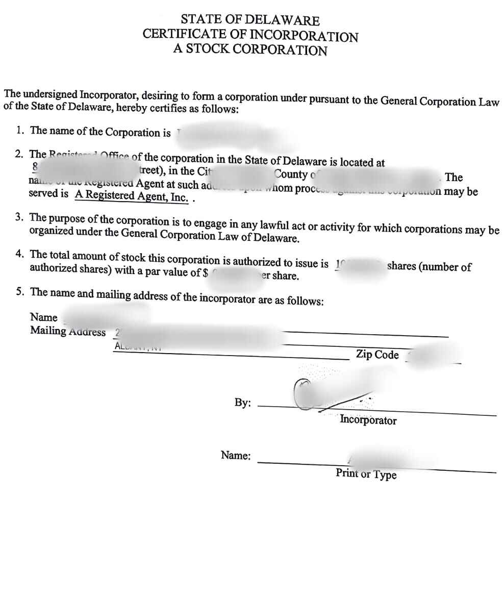
What Is the Certificate of Incorporation?

Certificate of incorporation which is also known as articles of incorporation is a document confirming the formation of the company as per the corporate law of the respective state. In the United States it is generally issued by the secretary of the respective state. 

A certificate of incorporation includes following details: 

  • Company name
  • Business purpose
  • Legal Address
  • Number of shares the corporation can issue
  • Name, address and signature of one or more incorporators

Why Do You Need US Certificate of Incorporation Apostille in Australia?

The reasons why you need to get an apostille for a US certificate of incorporation in Australia are: 

  • To open a business bank account in Australia while your company is registered in the US.
  • To register your US company in Australia
  • To enter into international contracts or partnerships with Australia
  • To comply with Australia legal or administrative requirements 

Step-by-Step Process for Apostilling a US Certificate of Incorporation in Australia

  1. Confirm whether you are going to submit your certificate of incorporation in a Hague apostille country or not. Your document with an apostille will be accepted legally only if the country is a Hague member country. 
  2. Get a certified copy of your certificate of incorporation from the secretary of the state where your company is registered. Certified copy is mandatory in case of COI apostille; notarized copy is not accepted.
  3. Submit the certified copy to the SLS : You can send the  certified copy of the COI to our US head office. 
  4. Pay the apostille fee online
  5. The office of the secretary of the state verifies the authenticity of the certificate of incorporation by checking whether it is an official certified copy and the signature and seal are from an authorized state official. If there is any discrepancy they will ask you for resubmission.
  6. Issuance of apostille: Once verified, the Secretary of State attaches an apostille certificate to the document. This certificate is either stapled or affixed with a ribbon to your original document. 
  7. Delivery of Apostille: We deliver your apostilled certificate of incorporation to your home whether it is in the US or anywhere else in the world.

Details Included in an Apostille

The apostille usually includes:

  • Name and title of the issuing state official
  • Seal/stamp of the state
  • Unique apostille number and date of issuance
  • Reference to the Hague Apostille Convention (1961)

Cost of US Certificate of Incorporation Apostille in Australia

Cost of getting an apostille for Certificate of Incorporation Apostille varies depending on factors such as: 

  1. State of issuance of certificate of incorporation
  2. Services you choose- expedited services will cost more than the normal cost. 
  3. Courier charges to India after apostille

Legalization of US Certificate of Incorporation for non Hague Countries in Australia

If you are in Australia and you want to submit your US company’s certificate of incorporation in a non-Hague country, you need to follow a different method. For non Hague countries the secretary of the state issues an Authentication Certificate verifying the signature and seal on your corporate document. Instead of an apostille, this certificate is called a Certificate of Authentication. Then follow below steps to legalize COI for a non Hague country. 

  • Submit the document to the U.S. Department of State – Office of Authentications in Washington, D.C and get a Federal Authentication Certificate. 
  • Finally, the authenticated document must be legalized at the embassy or consulate of the destination country (located in the U.S.). For example, if it is submitted in the UAE, attestation should be obtained from the UAE embassy in the USA.

Obtaining an apostille for your US certificate of incorporation in Australia is critical for legitimate international business activities in Australia. With the help of an authorized apostille service for US documents in Australia, you can get an apostille for a US issued certificate of incorporation in Australia fast and secure from anywhere in the world.

US Certificate of Incorporation Apostille in Australia Application form Based on State of Issuance

Name of the state Email ID for Apostille Application Apostille Application form
Apostille for Alabama State issued Certificate of Incorporation in Australia
Apostille for Alaska State issued Certificate of Incorporation in Australia
Apostille for Arizona issued Certificate of Incorporation in Australia
Apostille for Arkansas issued Certificate of Incorporation in Australia
Apostille for California issued Certificate of Incorporation in Australia
Apostille for Colorado issued Certificate of Incorporation in Australia
Apostille for Connecticut issued Certificate of Incorporation in Australia
Apostille for Delaware issued Certificate of Incorporation in Australia
Apostille for Florida issued Certificate of Incorporation in Australia
Apostille for Georgia issued Certificate of Incorporation in Australia
Apostille for Hawaii issued Certificate of Incorporation in Australia
Apostille for Idaho issued Certificate of Incorporation in Australia
Apostille for Illinois issued Certificate of Incorporation in Australia
Apostille for Indiana issued Certificate of Incorporation in Australia
Apostille for Iowa issued Certificate of Incorporation in Australia
Apostille for Kansas issued Certificate of Incorporation in Australia
Apostille for Kentucky issued Certificate of Incorporation in Australia
Apostille for Louisiana issued Certificate of Incorporation in Australia
Apostille for Maine issued Certificate of Incorporation in Australia
Apostille for Maryland issued Certificate of Incorporation in Australia
Apostille for Massachusetts issued Certificate of Incorporation in Australia
Apostille for Michigan issued Certificate of Incorporation in Australia
Apostille for Minnesota issued Certificate of Incorporation in Australia
Apostille for Mississippi issued Certificate of Incorporation in Australia
Apostille for Mississippi issued Certificate of Incorporation in Australia
Apostille for Montana issued Certificate of Incorporation in Australia
Apostille for Nebraska issued Certificate of Incorporation in Australia
Apostille for Nevada issued Certificate of Incorporation in Australia
Apostille for New Hampshire issued Certificate of Incorporation in Australia
Apostille for New Jersey issued Certificate of Incorporation in Australia
Apostille for New Mexico issued Certificate of Incorporation in Australia
Apostille for New York issued Certificate of Incorporation in Australia
Apostille for North Carolina issued Certificate of Incorporation in Australia
Apostille for North Dakota issued Certificate of Incorporation in Australia
Apostille for Ohio issued Certificate of Incorporation in Australia
Apostille for Oklahoma issued Certificate of Incorporation in Australia
Apostille for Oregon issued Certificate of Incorporation in Australia
Apostille for Pennsylvania issued Certificate of Incorporation in Australia
Apostille for Rhode Island issued Certificate of Incorporation in Australia
Apostille for South Carolina issued Certificate of Incorporation in Australia
Apostille for South Dakota issued Certificate of Incorporation in Australia
Apostille for Tennessee issued Certificate of Incorporation in Australia
Apostille for Texas issued Certificate of Incorporation in Australia
Apostille for Utah issued Certificate of Incorporation in Australia
Apostille for Vermont issued Certificate of Incorporation in Australia
Apostille for Virginia issued Certificate of Incorporation in Australia
Apostille for Washington issued Certificate of Incorporation in Australia
Apostille for West Virginia issued Certificate of Incorporation in Australia
Apostille for Wisconsin issued Certificate of Incorporation in Australia
Apostille for Wyoming issued Certificate of Incorporation in Australia

Register for Online Apostille

Provide applicant details

Registratiom

Frequently asked questions

No. Apostilles for US-issued documents can only be issued in the United States by the competent authority (usually the Secretary of State of the state where the document was issued). In Australia, you cannot directly apostille a US COI.

Yes. Through a US-based service provider such as Secure Legalization Services who can submit your document for apostille in the issuing state.

In most US states, yes. If the COI is a certified copy from the Secretary of State, it usually does not need notarization. However, if it is a regular copy, it may need to be notarized before it can be apostilled.

US Apostille in Australia- Service Areas

Location Contact Number Email ID
US Apostille Service in Adelaide
US Apostille Service in Ballarat
US Apostille Service in Bendigo
US Apostille Service in Brisbane
US Apostille Service in Cairns
US Apostille Service in Canberra
US Apostille Service in Darwin
US Apostille Service in Geelong
US Apostille Service in Gold Coast
US Apostille Service in Hobart
US Apostille Service in Launceston
US Apostille Service in Melbourne
US Apostille Service in Newcastle
US Apostille Service in Perth
US Apostille Service in Rockhampton
US Apostille Service in Sunshine Coast
US Apostille Service in Sydney
US Apostille Service in Toowoomba
US Apostille Service in Townsville
US Apostille Service in Wollongong