US Certificate of Incorporation Apostille in Saudi Arabia

Certificate of Incorporation apostille US in Singapore

US certificate of incorporation apostille is mandatory if you are trying to use your US issued certificate of Incorporation in Saudi Arabia. COI with apostille has lots of Advantages in legal or official affairs in Saudi Arabia. 

If you are planning to use your US Certificate of Incorporation in Saudi Arabia, authenticating it with an apostille is mandatory. An apostille authenticates your certificate of incorporation for international use under the Hague convention. This article will explain in detail about the process, requirement and timeline of getting an apostille for a US certificate of incorporation in Saudi Arabia. 

4 Easy steps to get US Apostille on the documents

  1. Register on Apostille Portal 
  2. Collect certificates that need US Apostille
  3. Deposit the photocopies / original certificates
  4. Receive Documents with Apostille directly at your doorstep

What is a US Apostille in Saudi Arabia?

A US apostille in Saudi Arabia involves getting an apostille stamp on your US issued documents while you are in Saudi Arabia. An apostille is a certification issued for a document by designated authority in a country, as per the guidelines of Hague Apostille convention. It makes a public document issued in one country legally valid in another country. 

Since the US is a federal state, unlike other countries there are multiple apostille issuing authorities. The US department of state secretary will provide apostille for federal documents, and the respective state secretary provides apostille for state issued documents.

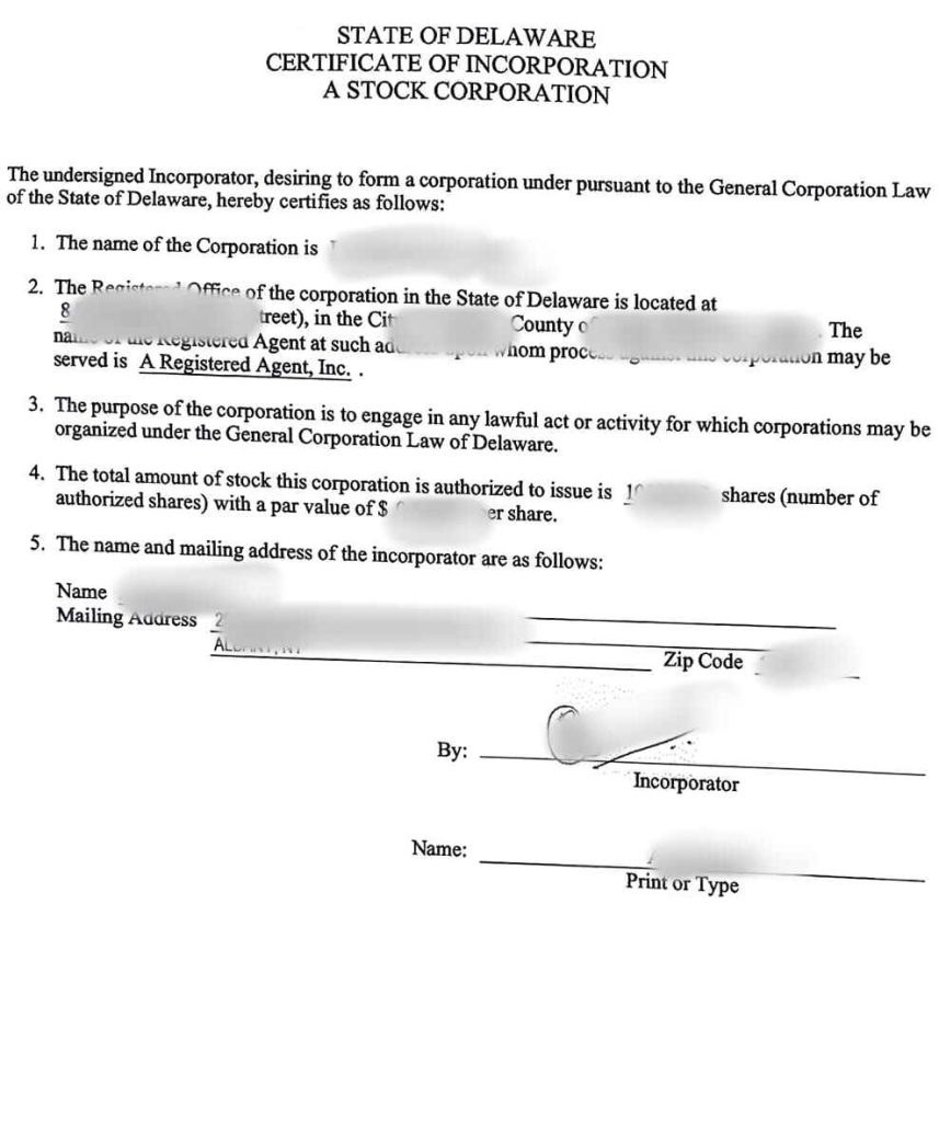
What Is the Certificate of Incorporation?

Certificate of incorporation which is also known as articles of incorporation is a document confirming the formation of the company as per the corporate law of the respective state. In the United States it is generally issued by the secretary of the respective state. 

A certificate of incorporation includes following details: 

  • Company name
  • Business purpose
  • Legal Address
  • Number of shares the corporation can issue
  • Name, address and signature of one or more incorporators

Why Do You Need US Certificate of Incorporation Apostille in Saudi Arabia?

The reasons why you need to get an apostille for a US certificate of incorporation in Saudi Arabia are: 

  • To open a business bank account in Saudi Arabia while your company is registered in the US.
  • To register your US company in Saudi Arabia
  • To enter into international contracts or partnerships with Saudi Arabia
  • To comply with Saudi Arabia legal or administrative requirements 

Step-by-Step Process for Apostilling a US Certificate of Incorporation in Saudi Arabia

  1. Confirm whether you are going to submit your certificate of incorporation in a Hague apostille country or not. Your document with an apostille will be accepted legally only if the country is a Hague member country. 
  2. Get a certified copy of your certificate of incorporation from the secretary of the state where your company is registered. Certified copy is mandatory in case of COI apostille; notarized copy is not accepted.
  3. Submit the certified copy to the SLS : You can send the  certified copy of the COI to our US head office. 
  4. Pay the apostille fee online
  5. The office of the secretary of the state verifies the authenticity of the certificate of incorporation by checking whether it is an official certified copy and the signature and seal are from an authorized state official. If there is any discrepancy they will ask you for resubmission.
  6. Issuance of apostille: Once verified, the Secretary of State attaches an apostille certificate to the document. This certificate is either stapled or affixed with a ribbon to your original document. 
  7. Delivery of Apostille: We deliver your apostilled certificate of incorporation to your home whether it is in the US or anywhere else in the world.

Details Included in an Apostille

The apostille usually includes:

  • Name and title of the issuing state official
  • Seal/stamp of the state
  • Unique apostille number and date of issuance
  • Reference to the Hague Apostille Convention (1961)

Cost of US Certificate of Incorporation Apostille in Saudi Arabia

Cost of getting an apostille for Certificate of Incorporation Apostille varies depending on factors such as: 

  1. State of issuance of certificate of incorporation
  2. Services you choose- expedited services will cost more than the normal cost. 
  3. Courier charges to Saudi Arabia after apostille

Legalization of US Certificate of Incorporation for non Hague Countries in Saudi Arabia

If you are in Saudi Arabia and you want to submit your US company’s certificate of incorporation in a non-Hague country, you need to follow a different method. For non Hague countries the secretary of the state issues an Authentication Certificate verifying the signature and seal on your corporate document. Instead of an apostille, this certificate is called a Certificate of Authentication. Then follow below steps to legalize COI for a non Hague country. 

  • Submit the document to the U.S. Department of State – Office of Authentications in Washington, D.C and get a Federal Authentication Certificate. 
  • Finally, the authenticated document must be legalized at the embassy or consulate of the destination country (located in the U.S.). For example, if it is submitted in the UAE, attestation should be obtained from the UAE embassy in the USA.

Obtaining an apostille for your US certificate of incorporation in Saudi Arabia is critical for legitimate international business activities in Saudi Arabia. With the help of an authorized apostille service for US documents in Saudi Arabia, you can get an apostille for a US issued certificate of incorporation in Saudi Arabia fast and secure from anywhere in the world.

US Certificate of Incorporation Apostille in Saudi Arabia Application form Based on State of Issuance

Name of the state Email ID for Apostille Application Apostille Application form
Apostille for Alabama State issued Certificate of Incorporation in Saudi Arabia
Apostille for Alaska State issued Certificate of Incorporation in Saudi Arabia
Apostille for Arizona issued Certificate of Incorporation in Saudi Arabia
Apostille for Arkansas issued Certificate of Incorporation in Saudi Arabia
Apostille for California issued Certificate of Incorporation in Saudi Arabia
Apostille for Colorado issued Certificate of Incorporation in Saudi Arabia
Apostille for Connecticut issued Certificate of Incorporation in Saudi Arabia
Apostille for Delaware issued Certificate of Incorporation in Saudi Arabia
Apostille for Florida issued Certificate of Incorporation in Saudi Arabia
Apostille for Georgia issued Certificate of Incorporation in Saudi Arabia
Apostille for Hawaii issued Certificate of Incorporation in Saudi Arabia
Apostille for Idaho issued Certificate of Incorporation in Saudi Arabia
Apostille for Illinois issued Certificate of Incorporation in Saudi Arabia
Apostille for Indiana issued Certificate of Incorporation in Saudi Arabia
Apostille for Iowa issued Certificate of Incorporation in Saudi Arabia
Apostille for Kansas issued Certificate of Incorporation in Saudi Arabia
Apostille for Kentucky issued Certificate of Incorporation in Saudi Arabia
Apostille for Louisiana issued Certificate of Incorporation in Saudi Arabia
Apostille for Maine issued Certificate of Incorporation in Saudi Arabia
Apostille for Maryland issued Certificate of Incorporation in Saudi Arabia
Apostille for Massachusetts issued Certificate of Incorporation in Saudi Arabia
Apostille for Michigan issued Certificate of Incorporation in Saudi Arabia
Apostille for Minnesota issued Certificate of Incorporation in Saudi Arabia
Apostille for Mississippi issued Certificate of Incorporation in Saudi Arabia
Apostille for Mississippi issued Certificate of Incorporation in Saudi Arabia
Apostille for Montana issued Certificate of Incorporation in Saudi Arabia
Apostille for Nebraska issued Certificate of Incorporation in Saudi Arabia
Apostille for Nevada issued Certificate of Incorporation in India
Apostille for New Hampshire issued Certificate of Incorporation in Saudi Arabia
Apostille for New Jersey issued Certificate of Incorporation in Saudi Arabia
Apostille for New Mexico issued Certificate of Incorporation in Saudi Arabia
Apostille for New York issued Certificate of Incorporation in Saudi Arabia
Apostille for North Carolina issued Certificate of Incorporation in Saudi Arabia
Apostille for North Dakota issued Certificate of Incorporation in Saudi Arabia
Apostille for Ohio issued Certificate of Incorporation in Saudi Arabia
Apostille for Oklahoma issued Certificate of Incorporation in Saudi Arabia
Apostille for Oregon issued Certificate of Incorporation in Saudi Arabia
Apostille for Pennsylvania issued Certificate of Incorporation in Saudi Arabia
Apostille for Rhode Island issued Certificate of Incorporation in Saudi Arabia
Apostille for South Carolina issued Certificate of Incorporation in Saudi Arabia
Apostille for South Dakota issued Certificate of Incorporation in Saudi Arabia
Apostille for Tennessee issued Certificate of Incorporation in Saudi Arabia
Apostille for Texas issued Certificate of Incorporation in Saudi Arabia
Apostille for Utah issued Certificate of Incorporation in Saudi Arabia
Apostille for Vermont issued Certificate of Incorporation in Saudi Arabia
Apostille for Virginia issued Certificate of Incorporation in Saudi Arabia
Apostille for Washington issued Certificate of Incorporation in Saudi Arabia
Apostille for West Virginia issued Certificate of Incorporation in Saudi Arabia
Apostille for Wisconsin issued Certificate of Incorporation in Saudi Arabia
Apostille for Wyoming issued Certificate of Incorporation in Saudi Arabia

Register for Online Apostille

Provide applicant details

Registratiom

Frequently asked questions

No. MEA India can provide apostille for only Indian issued documents. You need to get apostille from the respective state as it is a US state issued document. 

US Apostille in Saudi Arabia- Service Areas

Location Contact Number Email ID
US Apostille Service in Abha
US Apostille Service in Al Bahah
US Apostille Service in Al Dammam
US Apostille Service in Al Khobar
US Apostille Service in Al Madinah (Medina)
US Apostille Service in Al-Qassim
US Apostille Service in Al-Qassim
US Apostille Service in Al-Qassim
US Apostille Service in Asir
US Apostille Service in Dhahran
US Apostille Service in Eastern Province (Ash Sharqiyah)
US Apostille Service in Hail
US Apostille Service in Jazan (Jizan)
US Apostille Service in Jeddah
US Apostille Service in Jubail
US Apostille Service in Makkah (Mecca)
US Apostille Service in Najran
US Apostille Service in Qatif
US Apostille Service in Riyadh
US Apostille Service in Tabuk
US Apostille Service in Taif
US Apostille Service in Yanbu